当三成乳腺癌患者在化疗期间彻夜辗转,当临床医生仍将失眠视为治疗的次要副作用,我们是否忽视了那个每日三餐中潜藏的睡眠杀手?
导语:当三成乳腺癌患者在化疗期间彻夜辗转,当临床医生仍将失眠视为治疗的次要副作用,我们是否忽视了那个每日三餐中潜藏的睡眠杀手?
乳腺癌患者睡眠障碍频发却遭临床忽视,饮食炎症指数与睡眠质量的关联机制亟待验证
乳腺癌作为我国女性第二大高发恶性肿瘤,其诊疗过程中的睡眠障碍问题始终处于尴尬境地。尽管流行病学调查早已揭示14%至93%的乳腺癌患者饱受睡眠困扰,且明确证实未经干预的睡眠障碍会显著削弱免疫监视功能、加重癌因性疲乏,甚至直接增加复发与死亡风险,但临床实践中,这一症状仍被普遍视为化疗的暂时性伴发表现而缺乏主动管理策略。
现有研究虽在一般人群中建立起膳食模式与睡眠质量的统计学关联——地中海饮食因富含多酚与不饱和脂肪酸可降低IL-6与CRP水平从而改善睡眠,而红肉及加工食品通过激活NF-κB通路加剧炎症反应进而扰乱睡眠结构——然而这些发现在乳腺癌这一特殊人群中始终缺乏直接证据。饮食因素究竟通过何种生物学机制作用于肿瘤患者的睡眠调节,特别是系统性炎症是否为膳食-睡眠轴的核心中介,此前竟无一项研究给出明确回答。
正是在这样的认知鸿沟下,2025年12月Nutrients杂志发表了一篇题为"The Potential Mediating Role of Inflammation on the AssociationBetween Dietary Inflammatory Index and Sleep DisturbanceAmong Breast Cancer Patients: A Cross-Sectional Study"的文章,将能量校正的膳食炎症指数(E-DII)应用于乳腺癌化疗人群,不仅量化了促炎饮食对睡眠质量的独立影响,更通过血浆生物标志物检测与因果中介分析,揭示了IL-1β、IL-6、IL-10、TNF-α及CRP五条并行炎症通路在其中发挥的核心传递作用,为临床营养干预提供了首个循证医学靶点。

横断面设计锁定饮食炎症指数,中介分析揭示炎症因子在睡眠障碍中的传递路径
本研究是一项单中心横断面观察性研究,旨在明确促炎饮食与乳腺癌患者睡眠障碍的关联强度,并验证系统性炎症是否为该关联的中介变量。研究团队于2023年8月至2024年4月在江南大学附属医院连续招募302例接受术后辅助化疗的女性乳腺癌患者,纳入标准限定为年龄≥18岁、无远处转移、认知功能正常且自愿参与,同时严格排除合并其他恶性肿瘤、胃肠或血液系统疾病、近三周使用镇静催眠药或抗生素等可能干扰炎症指标的病例。最终样本中睡眠障碍组91例(PSQI≥8分)与非睡眠障碍组211例形成对比。
研究采用连续三日24小时膳食回顾法(入院首日与出院后工作日、周末各一次)收集营养数据,通过营养计算器v2.8.3结合中国食物成分表第六版计算出25种营养素的日均摄入量,进而依据Shivappa等建立的算法得出E-DII评分。睡眠评估采用中文版匹兹堡睡眠质量指数(PSQI),以8分作为睡眠障碍的截断值以更好适应中国癌症患者特征。中介效应分析的103例亚组在化疗前采集空腹静脉血,ELISA法检测IL-1β、IL-6、IL-10、TNF-α及CRP水平。统计策略上,研究不仅通过多因素logistic回归控制年龄、BMI、疼痛评分、焦虑抑郁评分等九项混杂因素,更创新性地采用R Mediation软件包进行10,000次bootstrap抽样的因果中介分析,计算平均因果中介效应(ACME)并引入敏感性参数ρ评估未测量混杂的稳健性,同时通过线性假设检验、Cook距离及方差膨胀因子(VIF<5)全面验证模型拟合质量,确保结果的可信度。
促炎饮食组睡眠障碍风险激增2.34倍,五种炎症因子证实中介效应占比显著
研究结果显示,乳腺癌患者睡眠障碍患病率达30.13%,其E-DII评分中位数显著高于非睡眠障碍组(0.4 vs -0.1,p=0.030),且T3组(最高促炎水平)患者比例明显增高(45.0% vs 28.0%,p=0.010)。在充分校正焦虑、抑郁、疼痛等混杂因素后,最高E-DII三分位组患者发生睡眠障碍的风险是最低组的2.34倍(95%CI:1.18-4.62,p=0.031),且E-DII每升高1个单位,睡眠障碍风险独立增加23.0%(OR=1.23,95%CI:1.04-1.44,p=0.014)。值得注意的是,在E-DII的25个组分中,仅维生素C摄入量与睡眠障碍呈显著负相关(OR=0.99,95%CI:0.99-1.00,p=0.015),而膳食纤维、叶酸等传统认知中的保护因子并未显示独立效应,提示整体膳食模式比单一营养素更具临床预测价值。
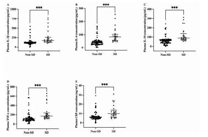
血浆炎症标志物检测揭示,睡眠障碍组IL-1β、IL-6、IL-10、TNF-α及CRP水平均显著高于对照组(p<0.001,图1)。线性回归证实E-DII评分与上述五种标志物水平呈正相关(βIL-1β=0.066,p<0.001;βIL-6=0.055,p=0.021;βIL-10=0.079,p<0.001;βTNF-α=0.059,p=0.003;βCRP=0.050,p=0.023)。

注:采用Mann-Whitney U检验,箱式图展示IL-1β、IL-6、IL-10、TNF-α及CRP的组间差异图1 乳腺癌睡眠障碍组与非睡眠障碍组血浆炎症生物标志物水平比较
中介分析得出关键结论:IL-1β的ACME为0.031(95%CI:0.007-0.066,p=0.004),IL-6为0.027(95%CI:0.001-0.062,p=0.039),IL-10为0.048(95%CI:0.011-0.096,p=0.004),TNF-α为0.028(95%CI:0.007-0.063,p=0.004),CRP为0.024(95%CI:0.002-0.057,p=0.032),敏感性参数ρ介于0.3至0.5之间,表明需中等强度未测量混杂才能完全消除中介效应。
总结
本研究首次在乳腺癌化疗人群中证实膳食-炎症-睡眠轴的存在,为营养干预提供了可量化的靶点与路径,其首次将膳食炎症指数这一整合性指标应用于肿瘤患者的睡眠医学领域,突破了既往单一营养素研究的局限,证实整体膳食模式的促炎潜能才是影响睡眠质量的独立危险因素。
临床实践中,这一发现提示肿瘤科医师必须将睡眠管理纳入化疗患者的常规评估,而非将其视为可耐受的副作用;营养师则可通过E-DII评分工具快速识别高危患者,制定以提升维生素C、膳食纤维等抗炎成分摄入为核心、同时限制红肉与加工食品的个体化膳食方案。患者化疗周期、手术方式等治疗相关变量可能构成未测量混杂,且饮食数据依赖自我报告存在回忆偏倚。未来需开展多中心前瞻性队列研究,采用多导睡眠图等客观评估手段,并在更大样本中验证炎症因子的动态变化轨迹,以最终确立饮食干预改善乳腺癌患者睡眠障碍的因果效应。
参考文献
Huang Z, Cheng L, He J, et al. The Potential Mediating Role of Inflammation on the Association Between Dietary Inflammatory Index and Sleep Disturbance Among Breast Cancer Patients: A Cross-Sectional Study [J]. Nutrients, 2025, 17 (24): 3889. DOI:10.3390/nu17243889.
copyright©医学论坛网 版权所有,未经许可不得复制、转载或镜像
京ICP证120392号 京公网安备110105007198 京ICP备10215607号-1 (京)网药械信息备字(2022)第00160号